
Le distanze tra gli apiari e i confini delle zone molto frazionate e urbanizzate sono soggette a continue controversie. La legge del 24 dicembre 2004 n. 313, (pubblicata sulla Gazzetta Ufficiale n. 306 del 31/12/2004) ha disciplinato nell’art. 8 le distanze minime degli apiari da rispettare dai confini pubblici e privati (figure 1, 2 e 3). È chiaro che nel caso in cui vi siano disposizioni vigenti più restrittive, stabilite da norme regionali, provinciali o comunali, devono essere rispettate tali norme.

In ultima ipotesi, il Sindaco ha poi la facoltà, qualora si renda indispensabile tutelare la quiete e la sicurezza pubblica, di imporre con ordinanza sindacale opportune modalità e limiti nell’allevamento delle api. In un certo senso, la norma sulle distanze, ha la funzione di regolare i rapporti tra le diverse proprietà finitime, al fine di assicurare la simultaneità e la possibilità del contemporaneo esercizio dei diritti relativi da parte dei singoli proprietari confinanti, conciliando in tal modo le opposte esigenze di ciascun proprietario.


Lo scopo di quest’articolo è quello di fornire un utile approfondimento e una guida da consultare per poter affrontare con cognizione i principali problemi che possono sorgere sulle distanze minime previste dalla legge tra gli apiari e i confini pubblici e privati.
Leggendo l’art. 8 si rileva che “Gli apiari devono essere collocati a non meno di cinque metri dai confini di proprietà pubbliche o private”. Tale distanza stabilita per l’installazione di apiari (così come vengono definiti all’art. 2 della stessa legge al comma 3 lett. C), verso i confini di proprietà pubbliche o private non si deve limitare alla sola installazione degli apiari, ma per una maggiore tutela va applicata anche a un singolo alveare.
Il legislatore all’art. 8 ha imposto la distanza minima senza riferire nulla sulla direzione di volo delle api, su come devono essere collocati e orientati gli alveari e su come si deve misurare la distanza degli apiari dai confini. Le manchevolezze che si riscontrano nella presente legge si possono così riassumere. La misurazione della distanza, ove esiste il locus a quo per la misurazione, in altre parole il punto di partenza, deve sempre misurarsi in senso orizzontale e perpendicolare al confine altrui, nel punto più prossimo alla porticina dell’alveare, senza tener conto dell’eventuale dislivello dei fondi che si fronteggiano.
Nelle (figure 1, 2 e 3) si osserva il modo di misurare la distanza minima dal confine con alveari disposti in maniera varia.
Questa distanza minima dal confine può essere derogata, poiché è stato previsto nello stesso art. 8 che “Il rispetto delle distanze non è obbligatorio se sono interposti, senza soluzioni di continuità, muri, siepi od altri ripari idonei a non consentire il passaggio delle api. Tali ripari devono avere un’altezza di almeno due metri” (figura 4). Il legislatore, introducendo la deroga sulla distanza da rispettare tra gli alveari e la proprietà aliena, si è espresso anche qui in modo generico e aleatorio, indicando ripari idonei a non consentire il passaggio delle api di altezza non inferiore a 2 m.
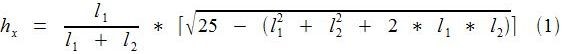
Sembra che il legislatore abbia voluto mediare sulla distanza introducendo parametri fissi, non legati a molte variabili esistenti tra gli alveari e il confine, come la distanza tra gli alveari e gli ostacoli e tra gli ostacoli e il confine, la direzione di volo delle api, tutte variabili che sono soggette a continue diatribe tra gli apicoltori e i proprietari dei fondi confinanti. Per questo, quando s’installa un apiario con interposto un ostacolo naturale o artificiale, l’apicoltore deve garantire al vicino confinante, indipendentemente dai parametri fissi stabiliti dal legislatore, la stessa incolumità che avrebbe in assenza di alveari. Le altezze (hx) degli ostacoli dovranno essere misurate partendo dalla quota d’ingresso della porticina dell’alveare e potranno essere ricavate dalla seguente formula (1), che va applicata quando la somma delle distanze dall’alveare all’ostacolo e dall’ostacolo al confine è inferiore a 5 m.

Dove:
l1 = distanza dall’alveare all’ostacolo;
l2 = distanza dall’ostacolo al confine;
hx = altezza dell’ostacolo, misurata dalla quota d’ingresso all’alveare;
√ = radice quadrata.
Tabella 1. Un esempio di applicazione della formula. Se la somma delle distanze è pari a quella minima, le altezze degli ostacoli si riducono a zero (fig. 5, 6, 7, 8).

La tabella è formata da una prima riga, dove è indicata la distanza in metri dall’alveare all’ostacolo e da una prima colonna dove è indicata la distanza in metri dall’ostacolo al confine. Dall’intersezione di queste due variabili l1 e l2 si ricava l’altezza dell’ostacolo. I risultati in rosso sono i minimi imposti dalla legge n. 313/04, in verde sono quelli che sono stati calcolati e che tutelano maggiormente il confinante.
ESEMPI, CON LE RELATIVE MISURE, DI APPLICAZIONI DELLA TABELLA 1
Se la somma delle distanze è pari a quella minima imposta dalla normativa, le altezze degli ostacoli si riducono a zero (fig. 5, 6, 7 e 8). I risultati sono facilmente ricavabili dalla tabella 1.
![]() |
![]() |
![]() |
![]() |
![]() |
![]() |
![]() |
![]() |
Per garantire ulteriormente al vicino di poter usufruire totalmente e senza problemi della sua proprietà gli ostacoli devono estendersi di oltre 5 metri rispetto al primo e all’ultimo alveare della fila, se disposti parallelamente al confine (figura 7), oppure rispetto all’alveare più prossimo al confine se sono disposti in maniera perpendicolare al confine stesso (figura 8).

Il legislatore, sempre all’art. 8, riferisce che, quando la configurazione dei luoghi dove sono installati gli alveari è a terrazze, “Il rispetto delle distanze non è obbligatorio se tra l’apiario ed i luoghi ivi indicati esistono dislivelli di almeno due metri”. Anche in questo caso la disposizione sembra superficiale, poiché le variabili che nascono nell’installazione degli apiari quando esistono dislivelli tra i due fondi contigui, come la posizione degli alveari, la direzione di volo e la distanza dal confine, sono elementi che possono nuocere o recare molestia al confinante. I rischi si amplificano se l’apiario è posizionato nel fondo sottostante. Le figure 9, 10, 11 e 12 mettono in risalto gli inconvenienti e i pregi derivanti dalle varie ubicazioni degli alveari.

Per essere sicuri di garantire una certa sicurezza al vicino quando s’installano gli alveari a ridosso del confine il dislivello va convenientemente aumentato, inserendo un ostacolo avente un’altezza calcolata con la formula precedente o ricavata direttamente dalla tabella 1. In pratica, con gli alveari disposti in un fondo inferiore a 0,5 m dal confine e con un dislivello tra i fondi confinanti di 2 metri, bisogna aggiungere un ostacolo di 2,97 metri, in modo da garantire un ostacolo di 4,97 m tra i due fondi.
Il legislatore poi, per regolare i rapporti tra il privato e il pubblico e per salvaguardare la sicurezza della circolazione, nell’art. 8 ha imposto che “Gli apiari debbano essere collocati a non meno di dieci metri da strade di pubblico transito”. Non specifica però da quale punto della strada bisogna iniziare la misurazione, (limite della piattaforma, banchine, marciapiedi, ciglio ecc.) Si presuppone che, avendo anche questa norma la funzione di regolare i rapporti tra le diverse proprietà, le misurazioni vadano compiute sempre tra la porticina dell’alveare e il ciglio della strada.
Per ciglio della strada s’intende il confine limite della sede o piattaforma stradale che comprende tutta la sede viabile, quella veicolare e quella pedonali, ivi contenute le banchine o altre strutture laterali alle predette sedi, quando queste sono transitabili, e le strutture di delimitazione non transitabili (parapetti, arginelle e simili). In ogni modo, gli alveari situati in prossimità di strade sia alla stessa altezza/allo stesso livello, sia più in alto o più in basso sono da evitare, perché, oltre a poter provocare problemi ai passanti se non vi sono ostacoli che alzano naturalmente la traiettoria di volo durante l’andirivieni delle api, queste possono rimanere schiacciate sui parabrezza delle auto in corsa.

Il legislatore ha tutelato all’art. 8 anche le industrie che trasformano sostanze zuccherine, perché “Nel caso d’accertata presenza d’impianti industriali saccariferi, gli apiari devono rispettare una distanza minima di un chilometro dai suddetti luoghi di produzione”.
Per concludere il discorso sulle distanze tra gli apiari e le proprietà finitime si può affermare che, sebbene le distanze siano regolate dalla legge nazionale e dalle leggi locali, l’apicoltore non può esimersi dall’usare tutte le precauzioni possibili affinché la sua attività non costituisca pericolo a terzi. L’apicoltore infatti è sempre responsabile, civilmente e penalmente, quando lavora con le api per i danni che vengono dimostrati, salvo che provi che il fatto dannoso è stato causato dal comportamento imprudente del danneggiato o da un estraneo all’attività, oppure che è ricorso il caso fortuito.
Pasquale Angrisani
Fonte: Api & Flora Gennaio/Aprile 1/2023
Apicoltore Moderno








Recentemente ho trovato il tuo sito e ne sono rimasto molto colpito per la precisione e competenza dimostrate per i suoi contenuti. [..]
Complimenti ancora per il sito che ho provveduto subito ad inserire nella lista dei preferiti.
Buonasera , ho posizionato le mie 4 arnie in un prato di mia proprietà, a 20/30 metri ci sono altre arnie di un altro propietario e questo mi sta facendo delle storie per la distanza tra le sue e le mie…..premetto che le sue erano giá li. Qualcuno sa dirmi se esiste una distanza da rispettare ? . Grazie per le risposte. buferax@gmail.com
La distanza tra diversi apiari appartenenti a più apicoltori è comunque regolamentata da una legge del 1925; si tratta del R.D.L. 23 ottobre 1925 n. 2079, convertito in legge n. 562 del 18 marzo 1926, il cui Regolamento esecutivo precisa che:
1) la distanza obbligatoria tra apiari con più di 50 alveari non deve essere inferiore a 3 Km;
2) gli apiari con meno di 50 alveari non sono sottoposti al vincolo della distanza obbligatoria.
Tuttavia, normative recenti sono contenute nelle Leggi Regionali, specifiche per l’apicoltura.
Hon circa 200;alveari su cinque postazioni in una azienda pubblica in Sardegna di cui sono ospite in convenzione annuale rinnovabile.
In giugno una grossa azienda della mia zona ha posizionato 96 alveari a 400 metri dal confine dell’azienda dove detengo le mie postazioni ed a 600 metri, 900 metri, 1500 metri dalle tre mie postazioni più vicine ai 96 alveari di cui contesto la vicinanza.
Il proprietario dei 96 alveari sostiene che la legge 313 del 2004 art. 7 ha cancellato il decreto regio n.614 art. 29 del 1927 e che pertanto non sposterà le arnie in quanto la legge 313 stabilisce una distanza minima fino ai duecento metri.
Ha aggiunto che se non mi va bene di andare da un avvocato per ottenere da un giudice un ordine
di ingiunzione di spostare gli alveari così come da regio decreto da me sostenuto, secondo lui invece non più valido.
Chiedo un parere sulla applicabilità o meno del regio decreto del 1927 n 614 art. 29.
La distanza tra diversi apiari costituisce un aspetto importante nel rapporto di buon vicinato con gli apicoltori stanziali e con altri apicoltori nomadisti presenti sullo stesso territorio. La distanza è comunque regolamentata da una legge non ancora abrogata del 1925, si tratta del R.D.L. 23 ottobre 1925 n. 2079, convertito in legge n. 562 del 18 marzo 1926, il cui regolamento esecutivo precisa che:
· la distanza obbligatoria tra apiari con più di 50 alveari non deve essere inferiore a 3 km;
· gli apiari con meno di 50 alveari non sono sottoposti al vincolo della distanza obbligatoria.
Inoltre, per il calcolo numerico degli alveari, due nuclei di allevamento devono essere calcolati come un alveare; colui che ha impiantato un apiario in un tempo antecedente ad un altro apicoltore ha un diritto prevalente in confronto di colui che impianta successivamente; uguale diritto prevalente ha chi sia contemporaneamente proprietario del fondo e dell’apiario in confronto di chi sia solo proprietario dell’apiario.
Tuttavia, normative recenti sono contenute nelle leggi Regionali, specifiche per l’apicoltura.
Se la tua Regione non ha ancora legiferato in materia non è applicabile l’art. 7 comma 4 della legge 24 dicembre 2004, n. 313.
Chiedo a Pasquale ed a chi vorrà rispondermi, se è a conoscenza di sentenze passate in giudicato riguardanti controversie sulla distanza tra postazioni di alveari con non meno di cinquanta per parte che richiamano l’applicabilità del regio decreto n. 614 del 1927 art.29. Mi piacerebbe sapere se esistono processi e come si sono conclusi, che si sa poi fanno giurisprudenza. Grazie.
Buonasera
Sono circa due anni che un vicino è venuto ad abitare a circa 30 metri da casa e ha portato con se queste arnie, ma il problema che si è venuto a creare e quello che macchine e qualsiasi cosa che è a contatto con l’esterno viene colpito da escrementi di api ed è diventato invivibile.
Volevo sapere se c’è qualcuno che ha riscontrato lo stesso problema e come si può risolvere.
Grazie
Buonasera, volevo chiedere un chiarimento per quanto riguarda la distanza tra apiarie e terreni vicini.
Ho affittato un terreno di mirtilli e subito dopo bel terreno a fianco ( a una distanza di 5 metri) sono state disposte delle api. Il problema consiste nel fatto che le api sì aggirano attorno ai mirtilli e mi è alquanto difficile raccogliere visto che sono stata punta diverse volte. Concludo dicendo che ho già provato a parlare con il proprietario ma non vuole assolutamente spostarle.
La Legge 313/2004 si occupa principalmente della disciplina dell’apicoltura e stabilisce anche alcune regole riguardanti la distanza minima tra le apicolture e altre attività agricole, al fine di evitare danni e problematiche legate alle interazioni tra le api e le coltivazioni vicine.
Distanza tra apicoltura e coltivazioni:
La legge, in generale, non stabilisce una distanza fissa a livello nazionale tra le api e le coltivazioni agricole, ma rimanda alle normative regionali o locali per stabilire questi parametri. Tuttavia, la legge stabilisce che l’apicoltore deve prendere in considerazione la sicurezza e il benessere delle persone e delle attività agricole vicine.
In particolare, l’articolo 6 della legge 313/2004 si concentra sull’informazione preventiva e sulla protezione delle persone, stabilendo che l’apicoltore deve evitare situazioni in cui le sue api possano creare pericoli per le persone che lavorano in terreni vicini.
Cosa puoi fare in base alla legge:
1. Verifica la normativa regionale: La legge nazionale stabilisce i principi generali, ma sono le leggi regionali o i regolamenti locali che possono definire le distanze minime tra le api e le coltivazioni agricole. Potresti verificare con l’ufficio dell’agricoltura o dell’ambiente della tua regione se esistono regolamenti specifici sulla distanza tra apicolture e coltivazioni di frutti, come i mirtilli, e se 5 metri siano sufficienti.
2. Chiedere una mediazione con il proprietario: Secondo la legge, l’apicoltore ha l’obbligo di minimizzare i disagi e i pericoli causati dalle sue api. Potresti riprendere il discorso con il proprietario dell’apiario, ricordandogli che la legge gli impone di tutelare la sicurezza e il benessere delle persone che lavorano nel terreno circostante. In caso di un impatto negativo sul tuo lavoro, potrebbe essere necessario un compromesso, come spostare le api o proteggere adeguatamente l’area con una barriera.
3. Richiesta formale all’ASL o al Comune: Se il proprietario non vuole cedere e la situazione continua a creare problemi, puoi rivolgerti all’ASL o al Comune per verificare se la situazione violi qualche normativa locale sulla distanza tra apicolture e coltivazioni agricole. In alcuni casi, le autorità competenti potrebbero intervenire per tutelare la sicurezza dei lavoratori.
4. Opzioni di protezione per il tuo terreno: Se le api sono particolarmente invasive, potresti considerare l’installazione di una barriera fisica che devii il volo delle api, come recinzioni alte o reti speciali che impediscano alle api di accedere facilmente alla tua coltivazione.
In conclusione:
Se il terreno su cui lavori è a rischio, la legge ti tutela in quanto deve essere garantita la sicurezza durante l’attività agricola. Rivolgersi alle autorità competenti potrebbe aiutarti a ottenere una soluzione più concreta. La mediazione con il proprietario dell’apiario rimane però la via più diretta, e nel caso la situazione non si risolva, le leggi regionali potrebbero intervenire per evitare ulteriori disagi.